A luz ou energia eletromagnética é uma radiação que pode ser transmitida através do vácuo a uma velocidade de 3,0x108m.s-1.
Ela apresenta uma natureza eletromagnética, pois consiste em um campo elétrico e outro magnético, perpendiculares entre si, que oscilam e viajam a uma velocidade de 3,0x108m.s-1.

Hoje, acredita-se que a energia luminosa se propaga através do espaço, na forma de um movimento ondulatório, semelhante às ondas que se propagam num lago quando se deixa cair uma pedra.
Na figura A,
é o comprimento de onda, a distância de crista a crista da onda; e a amplitude de uma onda corresponde à altura de sua crista em relação ao nível médio da água.

Para a luz o comprimento de onda e a frequência, ambos descrevem propriedades ondulatórias, estão relacionados pela equação:
![]()
Onde
é a frequência,
é o comprimento de onda e C é a velocidade da luz.

A figura acima representa o espectro eletromagnético que incluem ondas de radio de grande comprimento de onda ate raios gama de comprimento de onda muito curto.
O olho humano só é capaz de interpretar radiações de comprimento de onda na faixa de 400 nm a 700 nm que correspondem respectivamente às cores violeta e vermelha da região visível do espectro eletromagnético.
Ambos os modelos, o corpuscular e o ondulatório, parecem definitivos. A luz quando se propaga através do espaço, apresenta um comportamento ondulatório; e quando interage com a matéria, em processos de troca de energia assume uma natureza corpuscular.

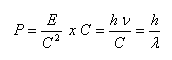
O físico francês de Broglie observou que, se a luz apresenta caráter tanto ondulatório como corpuscular, deve existir na matéria uma propriedade com características tanto ondulatórias como corpuscular.
Aproveitando a ideia de Einstein de que massa e energia estão relacionadas através da relação: E = mc2, de Broglie observou a quantidade de movimento p (massa x velocidade) de um fóton (uma propriedade corpuscular) está, relacionada com o seu comprimento de onda (uma propriedade ondulatória) através da expressão:
P = massa x velocidade

A quantidade de movimento e o comprimento de onda são inversamente proporcionais, através da constante de Planck.
De Broglie postulou que, as partículas materiais de massa m e de velocidade v, estariam associadas a um comprimento de onda λ dado pela equação:
![]()
Para continuar o estudo segue abaixo quatro questionamentos. Leia a aula, faça uma reflexão e tente resolver mentalmente os desafios. Clique aqui para abrir.